DWZ-Berechnung (inoffiziell)

1028 Aufrufe seit 29.11.2025
eigene Daten
gegnerische DWZ
Die Berechnung erfolgt nach der DSB-Wertungsordnung vom 01.01.2022.
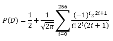
Die Wahrscheinlichkeit P bei der DWZ-Differenz (D) wird nach der Formel    ; wobei berechnet.
Die verwendete PHP-Klasse steht in GitHub zum Download zur Verfügung.

Wir nutzen Cookies auf unserer Website. Einige von ihnen sind essenziell für den Betrieb der Seite, während andere uns helfen, diese Website und die Nutzererfahrung zu verbessern (Tracking Cookies). Sie können selbst entscheiden, ob Sie die Cookies zulassen möchten. Bitte beachten Sie, dass bei einer Ablehnung womöglich nicht mehr alle Funktionalitäten der Seite zur Verfügung stehen.